微生物与酶研究开发创新团队可依托的科研平台有国家与地方酶资源开发与应用联合工程研究中心、云南省生物质能与环境生物技术重点实验室、云南省酶工程技术研究中心。另外,在技术交流和设备共享方面,本实验室已与省内外高校及科研院所建立了良好的合作关系,如云南大学、北京大学、四川大学、江南大学和天津科技大学等;此外,在国际合作方向,与美国加州大学DAVIS分校,澳大利亚黑尔本大学,英国LEEDS大学每年均定期进行技术交流。

团队成员:黄遵锡,丁俊美,周峻沛,黄斌,许波,赵三军,张蕊,韩楠玉,唐湘华,李俊俊,杨乐,丁尊丹,张呈波,苗华彪,吴倩,杨云娟。
团队带头人:黄遵锡,男,云南师范大学生命科学学院二级教授,博士生导师,民盟盟员,第九、十届云南省政协委员,生物能源持续开发利用教育部工程研究中心主任,云南省生物质能与环境生物技术重点实验室主任和创新团队学术带头人,云南师范大学生命科学学院副院长、云南省云岭学者,云南省万人计划技术领军人才,云南省酶工程专业领域学术带头人,中国食品学会酶制剂分会理事,云南省微生物与遗传学会常务理事。主要从事酶工程及基因工程方面的研究和教学工作。主持国家自然科学基金、国家863 项目、国家科技重大专项课题、国家重大产业化项目、国家重大支撑计划子项目、科技部农业科技成果转化资金项目、中科院西部之光、云南省应用基础研究计划重点项目、云南省产业重大关键技术开发专项、云南省攻关项目、云南省省院省校合作项目等各项研究基金三十余项,完成多项饲料酶制剂、皮革酶制剂开发,并实现产业化,多项成果添补国内空白,取得显著社会和经济效益。在国内外核心期刊发表论文200余篇,出版学术专著2部,授权专利40余项,获云南省科技进步一等奖2项,教育部技术发明一等奖1项,国家技术发明二等奖1项,云南好人奖获得者。
主要科研成果:科研项目50余项,发表科研论文:200余篇,授权专利:90余项,获云南省科技进步一等奖2项,教育部技术发明一等奖1项,国家技术发明二等奖1项,累计开发产品78个,每年产生直接经济效益约2亿元,间接经济效益约15亿元。

近五年中心针对我国饲料工业、制革工业、生物柴油产业、农残降解等方面所用酶制剂进行了科技攻关。主要解决了所用酶制剂的创新能力严重不足问题,主要体现在:基因挖掘工具与技术不足、缺乏酶基因资源库,基因表达体系不完善和欠缺、不具有自主知识产权;蛋白结构与功能研究手段缺乏、性能提升难,酶应用技术缺乏等。主要从以下几个方面进行了技术突破:
1、工业酶基因和微生物资源库的建立
本成果已在Frontiers in Microbiology和微生物学报等学术期刊发表科技论文23篇,已获授权发明专利12项,获得国家级、省级科研资助项目5项。
建立工业酶基因和微生物资源库技术路线图
2、 创新了工业酶制剂研发技术体系
通过创新酶制剂研发和生产技术体系,系统解决了酶的性能和生产成本等问题,使酶制剂发酵水平达到国际先进,实现了10种单酶新产品低成本生产,打破了国际大公司的垄断,并使我国酶制剂具有较强的国际竞争力。
工业酶高效表达体系创新技术路线图
3、创建了酶制剂应用技术体系
(1)饲料工业方面:建立了能准确反映酶作用价值和效果的评估方法,通过精准复配、协同应用技术创制了12种饲用复合酶应用方案,提高加酶饲料转化率,减轻环境污染,其技术路线图所示
饲用酶制剂的研究开发与应用技术路线图
(2)制革工业方面:结合制革工艺条件、研究现有典型蛋白酶的性能特性、酶在皮革中传质机制,对制革用蛋白酶的性能设计提出设计要求,突破了满足制革脱毛、脱脂和皮纤维结构松散等需要的关键酶(酸性蛋白酶、中性蛋白酶、碱性蛋白酶、角蛋白酶、胰蛋白酶、脂肪酶和糖苷酶)的生产技术,并进行了产业化示范。通过模拟制革环境中产酶微生物的筛选及酶的理性和非理性设计和基因的突变,构建了碱性蛋白酶、中性蛋白酶、酸性蛋白酶、脂肪酶、木聚糖酶和角蛋白酶等6种酶的工程菌,实现了这6种酶的产业化放大发酵生产,酶的发酵活力指标都达到或超过了项目的指标要求。
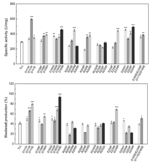
(3)生物柴油方面:实验结果发表在(Biotechnol Lett, 2020),授权专利5项。
TLL带负电氨基酸突变体酶的酶比活及生物柴油转化率结果
(4)农残降解方面:课题组分别从腾冲脂环酸芽孢杆菌、芽孢杆菌以及耐盐嗜热双歧菌鉴定到新型7-ACA脱乙酰化酯酶EstZY、EstSJ以及ThAXE。比已报道的其他乙酰木聚糖酯酶如LaAXE(202.9 ± 6.6 U mg-1)、CAH(210 U mg-1)、BhAXE(134.6 ± 2.4 U mg-1)、AxeA(113.5 ± 1.5 U mg-1)以及BpAXE(88 ± 23 U mg-1)的活性都高。EstZY、EstSJ以及ThAXE对7-ACA均具有脱乙酰化酶的活性,且能将7-ACA脱乙酰化生成D-7-ACA(以ThAXE为例,图-9)。以上工作发表于Int J Biol Macromol(EstZY)、Front Microbiol(EstSJ)和Process Biochemistry(ThAXE)杂志。
(5)云南特色药食两用资源开发方面:(1)挖掘到1个葡萄糖苷酶;本研究可为稀有人参皂苷单体的特异性制备提供基础。此外,利用黑曲霉M5菌株直接对三七根粉末进行高浓度液态生物转化,并用以开发一款具有屏障修复功能的三七化妆品原料,助力三七产业的现代化深入发展。
(2) β-乙酰氨基葡萄糖苷酶对几丁寡糖底物催化机制的研究。可预防和治疗骨关节炎等慢性炎症,还具有抗炎症、抗氧化、抗衰老、抗纤维化、神经保护和心脏保护等多种作用;它是药妆中有效成分辅助剂,如化妆品中添加氨基葡萄糖苷可显著提高皮肤对透明质酸的吸收等;本团队通过对已发现的Microbacterium sp. HJ5来源的HJ5Nag和Shinella sp. JB10来源的JB10Nag结构和功能的研究,挖掘到了N端结构与其催化效率的关系,从分子层面解释了N端结构对其催化效率影响。